BusphotoBUSPHOTO

Picture Statistics

3282 KB


Picture ID:595951
File Size:3282 KB
Author:lordleon
Publication Date:19.02.2024 02:08 EET
Days in Database:711
Unique views:470
Comments:0

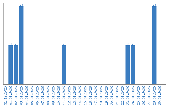
Viewing statistics by date