BusphotoBUSPHOTO

Picture Statistics

2050 KB


Picture ID:590462
File Size:2050 KB
Author:Sydney
Publication Date:01.02.2024 19:07 EET
Days in Database:730
Unique views:132
Comments:0

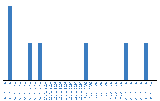
Viewing statistics by date