BusphotoBUSPHOTO

Statistiques d'images

142 KO


ID de l'image:589552
Taille du fichier:142 KO
Auteur:Denis2009
Date de publication:29.01.2024 18:52 EET
Jours dans la base de données:690
Vues uniques:206
Commentaires:0

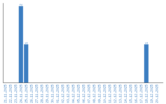
Affichage des statistiques par date