BusphotoBUSPHOTO

Picture Statistics

5244 KB


Picture ID:588991
File Size:5244 KB
Author:Altair123
Publication Date:28.01.2024 00:32 EET
Days in Database:736
Unique views:197
Comments:0

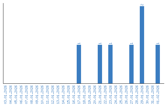
Viewing statistics by date