BusphotoBUSPHOTO

Picture Statistics

235 KB


Picture ID:586500
File Size:235 KB
Author:olegp
Publication Date:21.01.2024 09:20 EET
Days in Database:745
Unique views:344
Comments:0

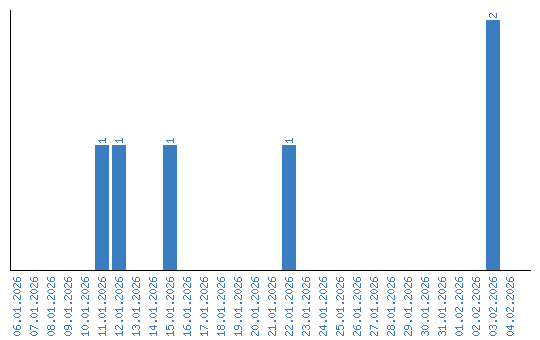
Viewing statistics by date