BusphotoBUSPHOTO

Informatsioon foto kohta

12415 KB


Pildi ID:585401
Faili suurus:12415 KB
Autor:KurvenKratzer
Avaldatud:17.01.2024 21:24 EET
Päevi saidil:749
Unikaalseid vaatamisi:246
Kommentaare:0

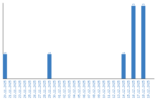
Vaatamiste statistika kuupäeviti