BusphotoBUSPHOTO

Picture Statistics

342 KB


Picture ID:581846
File Size:342 KB
Author:ToBen
Publication Date:05.01.2024 17:26 EET
Days in Database:761
Unique views:325
Comments:0

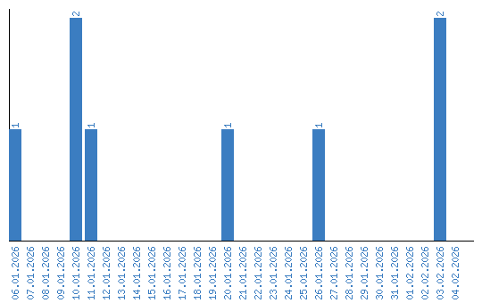
Viewing statistics by date