BusphotoBUSPHOTO

Picture Statistics

2814 KB


Picture ID:581719
File Size:2814 KB
Author:Niek2200
Publication Date:05.01.2024 15:11 EET
Days in Database:762
Unique views:391
Comments:0

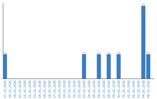
Viewing statistics by date