BusfotoBUSFOTO

Bildinformationen

411 KB


Foto-ID:579760
Dateigröße:411 KB
Aufgenommen von:ToBen
Veröffentlicht am:30.12.2023 13:23 EET
Tage seit Veröffentlichung:764
Aufrufe:226
Kommentare:0

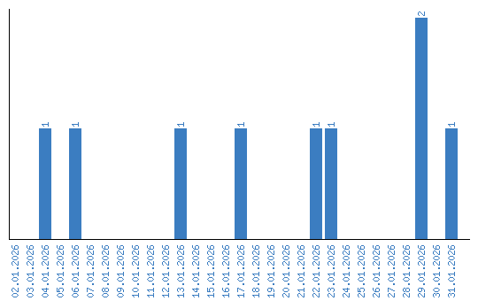
Aufrufestatistik (Tage)