BusphotoBUSPHOTO

Picture Statistics

531 KB


Picture ID:579336
File Size:531 KB
Author:Avtobys 36
Publication Date:28.12.2023 21:16 EET
Days in Database:770
Unique views:236
Comments:0

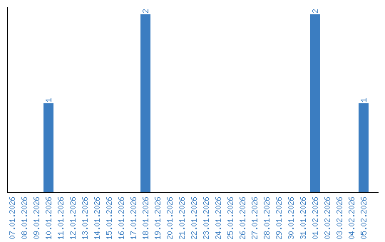
Viewing statistics by date