BusphotoBUSPHOTO

Picture Statistics

3204 KB


Picture ID:577546
File Size:3204 KB
Author:DmitryKTM5
Publication Date:21.12.2023 19:18 EET
Days in Database:779
Unique views:243
Comments:0

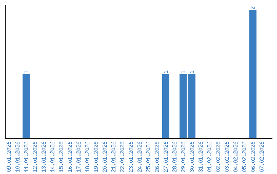
Viewing statistics by date