BusphotoBUSPHOTO

Picture Statistics

4942 KB


Picture ID:575419
File Size:4942 KB
Author:Martin Lazarov
Publication Date:11.12.2023 15:40 EET
Days in Database:783
Unique views:513
Comments:0

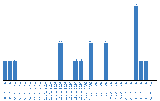
Viewing statistics by date