BusphotoBUSPHOTO

Picture Statistics

8808 KB


Picture ID:566375
File Size:8808 KB
Author:spotter.furkan
Publication Date:07.11.2023 22:06 EET
Days in Database:778
Unique views:158
Comments:0

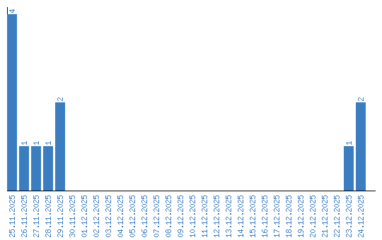
Viewing statistics by date