BusphotoBUSPHOTO

Picture Statistics

465 KB


Picture ID:562943
File Size:465 KB
Author:Tuisubus
Publication Date:26.10.2023 21:52 EET
Days in Database:827
Unique views:405
Comments:0

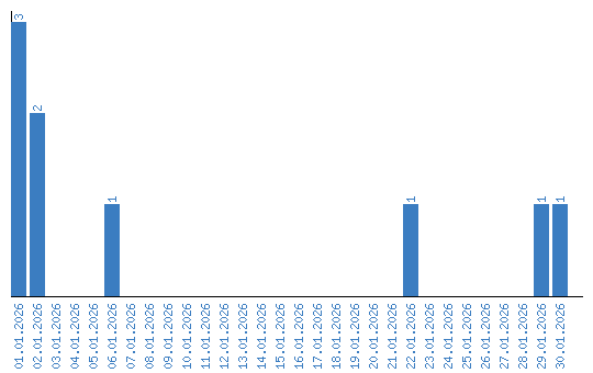
Viewing statistics by date