BusphotoBUSPHOTO

Picture Statistics

6672 KB


Picture ID:561091
File Size:6672 KB
Author:Jonas.bkf
Publication Date:20.10.2023 13:01 EET
Days in Database:839
Unique views:239
Comments:0

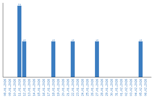
Viewing statistics by date