BusphotoBUSPHOTO

Picture Statistics

8716 KB


Picture ID:560564
File Size:8716 KB
Author:Till
Publication Date:18.10.2023 18:14 EET
Days in Database:841
Unique views:303
Comments:0

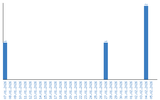
Viewing statistics by date