BusphotoBUSPHOTO

Picture Statistics

308 KB


Picture ID:547966
File Size:308 KB
Author:martvigs
Publication Date:05.09.2023 18:06 EET
Days in Database:883
Unique views:280
Comments:0

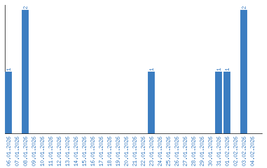
Viewing statistics by date