BusphotoBUSPHOTO

Picture Statistics

346 KB


Picture ID:547726
File Size:346 KB
Author:Lewar
Publication Date:04.09.2023 11:24 EET
Days in Database:837
Unique views:303
Comments:0

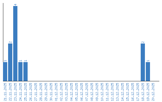
Viewing statistics by date