BusphotoBUSPHOTO

Picture Statistics

2030 KB


Picture ID:544118
File Size:2030 KB
Fotografato da:German Perfectionist
Publication Date:24.08.2023 14:34 EET
Days in Database:848
Unique views:237
Comments:0

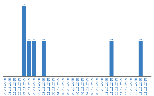
Viewing statistics by date