BusphotoBUSPHOTO

Picture Statistics

731 KB


Picture ID:538839
File Size:731 KB
Author:buspictures.nbg
Publication Date:05.08.2023 19:59 EET
Days in Database:914
Unique views:236
Comments:0

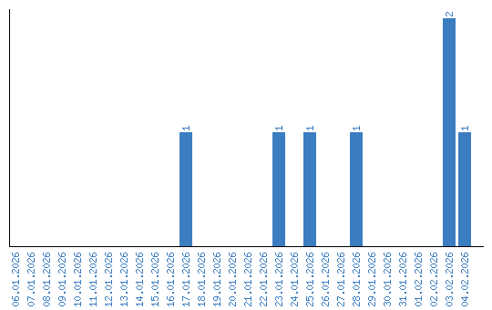
Viewing statistics by date