BusphotoBUSPHOTO

Picture Statistics

197 KB


Picture ID:538142
File Size:197 KB
Author:T131
Publication Date:03.08.2023 03:04 EET
Days in Database:920
Unique views:359
Comments:0

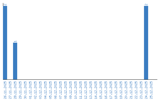
Viewing statistics by date