BusphotoBUSPHOTO

Picture Statistics

543 KB


Picture ID:534877
File Size:543 KB
Author:KurvenKratzer
Publication Date:22.07.2023 13:42 EET
Days in Database:923
Unique views:271
Comments:0

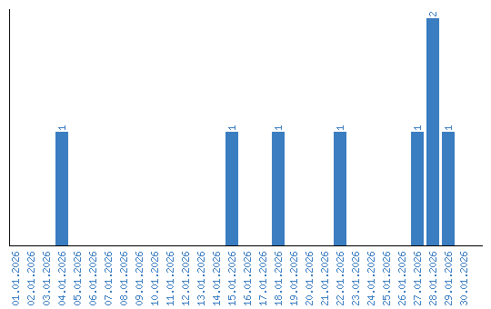
Viewing statistics by date