BusphotoBUSPHOTO

Picture Statistics

522 KB


Picture ID:533504
File Size:522 KB
Author:Valius Kedainietis
Publication Date:16.07.2023 22:09 EET
Days in Database:931
Unique views:268
Comments:0

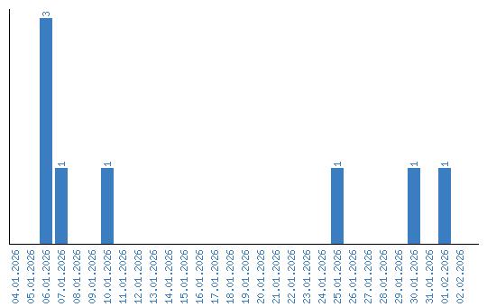
Viewing statistics by date