BusphotoBUSPHOTO

Picture Statistics

275 KB


Picture ID:531136
File Size:275 KB
Author:olegp
Publication Date:09.07.2023 09:11 EET
Days in Database:898
Unique views:298
Comments:0

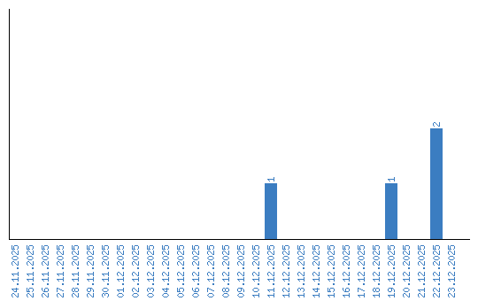
Viewing statistics by date