BusphotoBUSPHOTO

Picture Statistics

805 KB


Picture ID:529317
File Size:805 KB
Author:busspotting_hassberge
Publication Date:02.07.2023 00:37 EET
Days in Database:945
Unique views:623
Comments:0

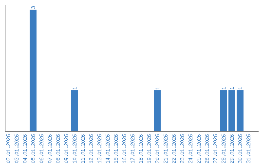
Viewing statistics by date