BusphotoBUSPHOTO

Picture Statistics

688 KB


Picture ID:528730
File Size:688 KB
Yazar:listenhenne
Publication Date:29.06.2023 12:08 EET
Days in Database:905
Unique views:173
Comments:0

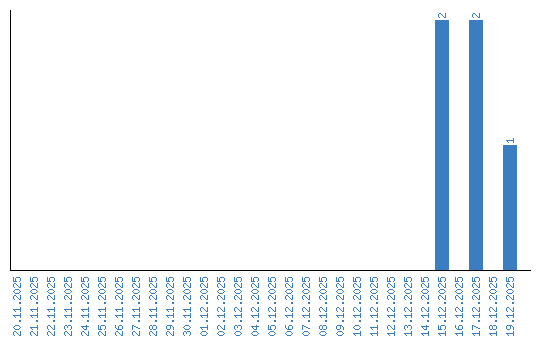
Viewing statistics by date