BusphotoBUSPHOTO

Picture Statistics

482 KB


Picture ID:526950
File Size:482 KB
Author:Lewar
Publication Date:21.06.2023 11:15 EET
Days in Database:957
Unique views:126
Comments:0

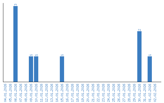
Viewing statistics by date