BusphotoBUSPHOTO

Picture Statistics

330 KB


Picture ID:522522
File Size:330 KB
Author:busdv
Publication Date:04.06.2023 03:31 EET
Days in Database:977
Unique views:269
Comments:0

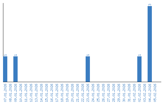
Viewing statistics by date