BusphotoBUSPHOTO

Picture Statistics

309 KB


Picture ID:521778
File Size:309 KB
Author:olegp
Publication Date:31.05.2023 20:04 EET
Days in Database:976
Unique views:225
Comments:0

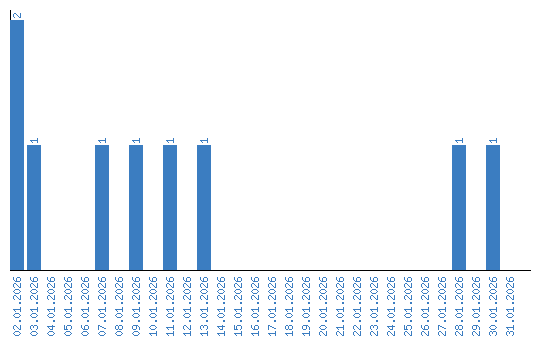
Viewing statistics by date