BusphotoBUSPHOTO

Picture Statistics

562 KB


Picture ID:521569
File Size:562 KB
Author:daandekrieger__
Publication Date:30.05.2023 18:55 EET
Days in Database:983
Unique views:489
Comments:0

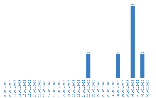
Viewing statistics by date