BusphotoBUSPHOTO

Picture Statistics

493 KB


Picture ID:513448
File Size:493 KB
Author:Lewar
Publication Date:26.04.2023 11:21 EET
Days in Database:1008
Unique views:186
Comments:0

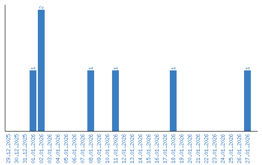
Viewing statistics by date