BusphotoBUSPHOTO

Picture Statistics

486 KB


Picture ID:51227
File Size:486 KB
Author:Archi
Publication Date:15.09.2012 19:52 EET
Days in Database:4893
Unique views:338
Comments:0

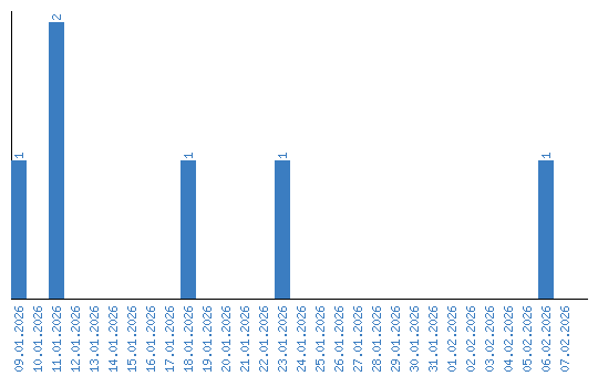
Viewing statistics by date