BusphotoBUSPHOTO

Picture Statistics

1338 KB


Picture ID:510445
File Size:1338 KB
Author:Const
Publication Date:15.04.2023 00:19 EET
Days in Database:1023
Unique views:330
Comments:0

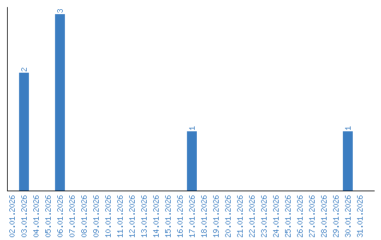
Viewing statistics by date