BusphotoBUSPHOTO

Picture Statistics

495 KB


Picture ID:502794
File Size:495 KB
Author:Valius Kedainietis
Publication Date:13.03.2023 11:38 EET
Days in Database:1012
Unique views:192
Comments:0

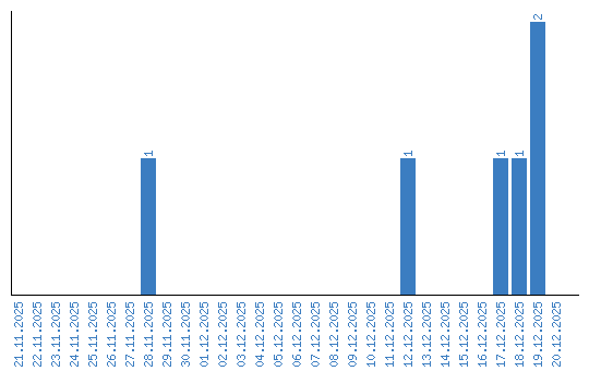
Viewing statistics by date