BusphotoBUSPHOTO

Picture Statistics

514 KB


Picture ID:502274
File Size:514 KB
Author:Metropolitan456
Publication Date:11.03.2023 09:56 EET
Days in Database:1058
Unique views:162
Comments:0

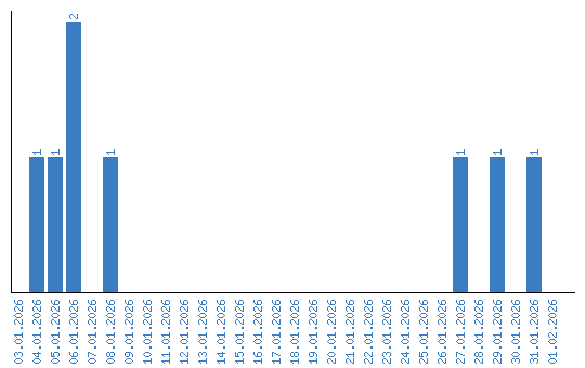
Viewing statistics by date