BusphotoBUSPHOTO

Picture Statistics

562 KB


Picture ID:500803
File Size:562 KB
Author:Block
Publication Date:04.03.2023 22:26 EET
Days in Database:1070
Unique views:181
Comments:0

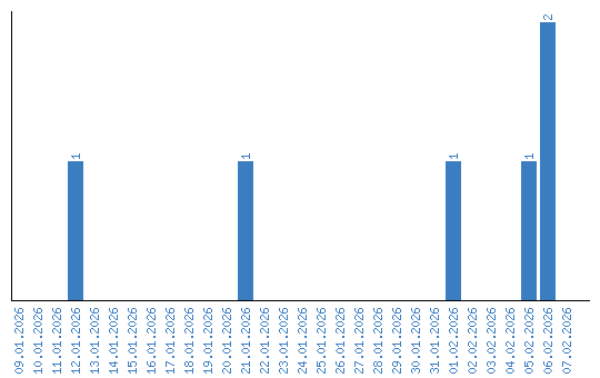
Viewing statistics by date