BusphotoBUSPHOTO

Picture Statistics

378 KB


Picture ID:499761
File Size:378 KB
Author:16v
Publication Date:28.02.2023 19:58 EET
Days in Database:1077
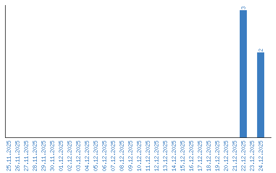
Unique views:251
Comments:0

Viewing statistics by date