BusphotoBUSPHOTO

Picture Statistics

578 KB


Picture ID:497131
File Size:578 KB
Author:Lord Byron
Publication Date:15.02.2023 10:31 EET
Days in Database:1081
Unique views:298
Comments:0

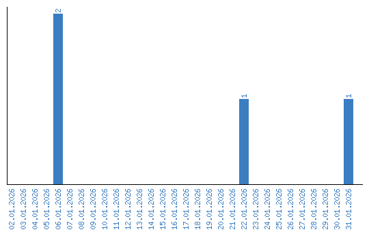
Viewing statistics by date