BusphotoBUSPHOTO

Picture Statistics

356 KB


Picture ID:495596
File Size:356 KB
Author:MIRVAN
Publication Date:07.02.2023 18:31 EET
Days in Database:1098
Unique views:139
Comments:0

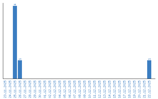
Viewing statistics by date