BusphotoBUSPHOTO

Picture Statistics

435 KB


Picture ID:49059
File Size:435 KB
Author:Artemio
Publication Date:29.08.2012 00:50 EET
Days in Database:4909
Unique views:259
Comments:0

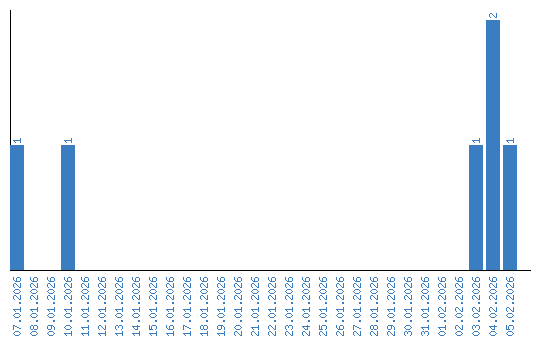
Viewing statistics by date