BusphotoBUSPHOTO

Picture Statistics

607 KB


Picture ID:480978
File Size:607 KB
Author:Артём Светлов
Publication Date:04.12.2022 20:31 EET
Days in Database:1160
Unique views:179
Comments:0

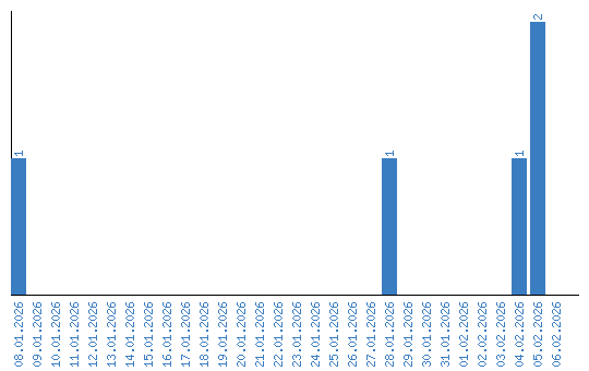
Viewing statistics by date