BusphotoBUSPHOTO

Информация за снимката

548 КБ


Идентификатор на снимки:478810
Размер на файла:548 КБ
Автор:Valius Kedainietis
Качено:24.11.2022 09:10 EET
Стоящо в сайта, дни:1121
Уникални преглеждания:277
Коментари:0

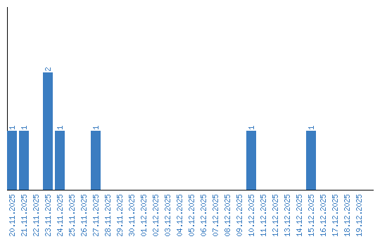
Динамика на преглежданията по дата