BussfotoBUSSFOTO

Bildstatistik

813 KB


Bild ID:474046
Filstorlek:813 KB
Författare:bremer_oepnv_fotograf
Publiceringsdatum:26.10.2022 11:57 EET
Dagar i databasen:1150
Unika visningar:271
kommentarer:0

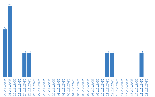
Visar statistik efter datum