BusphotoBUSPHOTO

Picture Statistics

673 KB


Picture ID:471403
File Size:673 KB
Author:Lord Byron
Publication Date:08.10.2022 17:08 EET
Days in Database:1226
Unique views:212
Comments:0

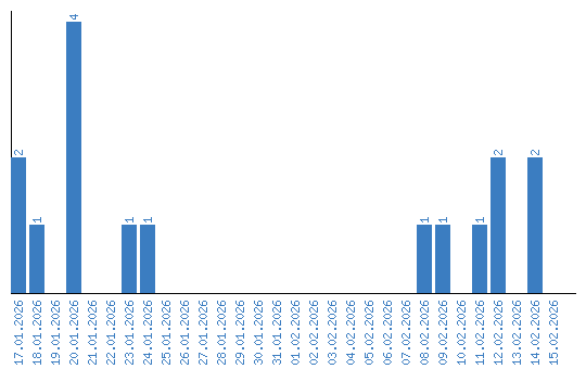
Viewing statistics by date