BusphotoBUSPHOTO

Picture Statistics

230 KB


Picture ID:47127
File Size:230 KB
Author:olegp
Publication Date:06.08.2012 11:21 EET
Days in Database:4927
Unique views:412
Comments:0

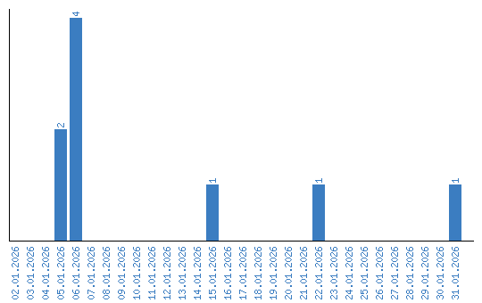
Viewing statistics by date