BusphotoBUSPHOTO

Picture Statistics

240 KB


Picture ID:467748
File Size:240 KB
Author:l-nv.info
Publication Date:14.09.2022 15:16 EET
Days in Database:1241
Unique views:258
Comments:0

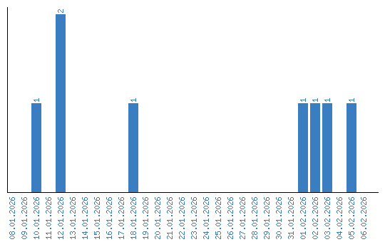
Viewing statistics by date