BusphotoBUSPHOTO

Picture Statistics

929 KB


Picture ID:467467
File Size:929 KB
Author:Кас
Publication Date:12.09.2022 10:56 EET
Days in Database:1200
Unique views:248
Comments:0

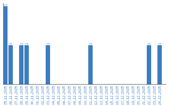
Viewing statistics by date