BusphotoBUSPHOTO

Picture Statistics

538 KB


Picture ID:465365
File Size:538 KB
Author:Valius Kedainietis
Publication Date:30.08.2022 08:18 EET
Days in Database:1254
Unique views:245
Comments:0

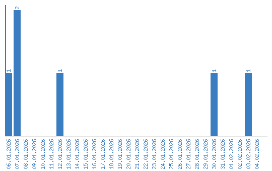
Viewing statistics by date