BusphotoBUSPHOTO

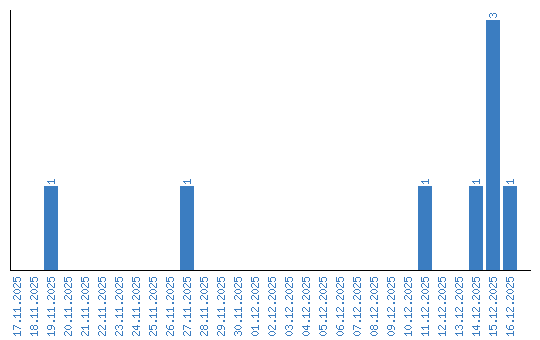
Statistiques d'images

593 KO


ID de l'image:465330
Taille du fichier:593 KO
Auteur:Bussmicke
Date de publication:29.08.2022 23:50 EET
Jours dans la base de données:1204
Vues uniques:190
Commentaires:0

Affichage des statistiques par date