BusphotoBUSPHOTO

Picture Statistics

698 KB


Picture ID:463811
File Size:698 KB
Author:Mik
Publication Date:22.08.2022 14:42 EET
Days in Database:1263
Unique views:916
Comments:0

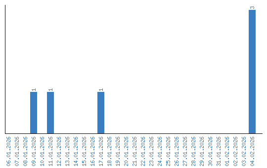
Viewing statistics by date